So, what is running economy?
Running economy is a term used to describe the amount of oxygen our bodies use when we run at a given intensity or speed. To paint a simple picture of this, imagine that oxygen is the petrol used to fuel a car, which in this case is our body. At different speeds, cars consume different amounts of petrol, just as when we run at different intensities, we have different oxygen requirements. The less petrol the car uses, the more economical it is; the same is true when we run. Just as your car’s fuel economy depends on the driving conditions, running economy changes according to running conditions too. For example, running uphill or along an uneven surface (such as mud, sand, or through long grass), causes the energy demand for a given speed or intensity to increase.
Running economy is currently understood in two different contexts:
- The oxygen cost of running at a certain speed, measured in millilitres (of oxygen), per kg body mass, per minute (mL.kg–1.min–1).
- The oxygen cost of running a certain distance, which is measured in millilitres per kg body mass per kilometre (mL.kg–1.km–1).
Every runner will exhibit unique energy and metabolic costs associated with different speeds, therefore emphasising that 'improving running economy' is not one size fits all and that a unique, individualised approach is necessary when it comes to developing an improvement strategy.
Why is running economy important for performance?
Running economy is considered a key determinant for successful performance in longer distance running events, with it having a much larger impact on long distance running than middle or short distances. This is because the advantage of better efficiency 'accumulates' in events marathon distance and beyond, given the length of time that it takes to complete and the reliance on aerobic as opposed to anaerobic systems. There are several physiological attributes that contribute to successful distance running performance including:
- High maximal output (VO2max)
- The ability to sustain a high percentage of VO2max for a long time
- And the ability to move efficiently (running economy)
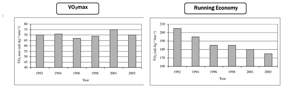
Below, are two graphs showing the VO2max and running economy of the former female marathon world record holder, Paula Radcliffe, over a period of 10 years.

Jones, A.M. (2006) “The physiology of the world record holder for the women's marathon,” International Journal of Sports Science & Coaching, 1(2), pp. 101–116. Available at: https://doi.org/10.1260/174795406777641258.
What’s interesting to observe here, is that despite Radcliffe’s maximal capacity (VO2max) remaining relatively stable, her running economy improved by 15% over this 10-year period, with Radcliffe being the most economical at the time she set the previous marathon world record in London, 2003, in a time of 2:15:25.
This signifies that while maximal capacity is important for distance runners, running economy has a far greater effect on performance and is something that endurance runners would benefit from developing. By training our bodies to become more economical, in theory we should either be able to:
- run at a higher intensity for the same oxygen cost as before
- or be able to maintain the same speed as before, but for an extended period
On paper,this all sounds pretty straight forward, but how do we actually go about influencing our running economy and putting this into practice
How can we enhanced running economy?
There are various ways of improving running economy, with the most influential training approaches being strength training and increasing mileage.
Here at Loughborough, we sat down with one of the experts in the field of running economy, Dr Richard Blagrove in the School of Sport, Exercise and Health Sciences, and he shared some of his insights into how strength training can be used to improve running economy. Strength and conditioning (S+C) exercises, have been shown to enhance running economy with an increase in strength causing positive changes in neuromuscular characteristics that reduce the energy used during each stride (i.e. improved biomechanical efficiency).
Blagrove suggests strength training can improve running economy by 2 - 8% with it also being a very effective tool for the management and prevention of injury, so should be a logical go-to for runners. Incorporating a basic strength training routine into your training plan 2-3 times per week for a period of 6 weeks could be a good starting point for training.
Strength Training:
If you’ve got access to a gym and the time to fit some structured strength and conditioning sessions into your routine, then keep reading! Blagrove suggests that when you first start lifting weights, you should work at an intensity that is challenging, but allows you to lift with the correct technique. A perceived effort of 7-8 out of 10 (with 10 being maximum) is usually about right! For those that are more experienced at lifting weights, it is recommended you calculate loads as a percentage of your 1 rep maximum.
By applying the concept of movement specificity (i.e movements that are specific to running), the type of resistance training used by runners should closely mimic the movement that will be performed during training and competition, therefore, primary exercises to focus on include squats, deadlifts, step ups and lunging movement patterns. Blagrove also suggests that strengthening of the calf muscles (the soleus in particular) should be a priority. The soleus is the deeper of the 2 primary calf muscles and is responsible for forward propulsion as we run. Current research suggests that by strengthening this muscle, the overall energy cost of running is significantly reduced.
What about Plyometrics?
Plyometrics are a specific form of strength training that aim to enhance the ability of muscles to generate power by exaggerating the stretch shortening cycle (SSC), using explosive exercises such as jumping, hopping, and bounding. Plyometric training has the potential to increase the stiffness of the muscle-tendon system, which allows the body to store and utilize elastic energy more efficiently, resulting in decreased ground contact time and reduced energy expenditure.
Plyometric exercises are recommended by many to enhance running economy, however, these do leave runners susceptible to injury. One of the potential reasons for this is that runners have not built-up sufficient strength prior to introducing plyometric training. For this reason, we would suggest that working on your strength and conditioning initially, to prepare your body for the impact and explosive nature of plyometric training would be a sensible idea.
Are the Nike Vaporfly’s going to reveal every runner’s bank of untapped potential?
Over the last few years, carbon-plated running shoes have received a lot of attention, ultimately, for their proclaimed potential to make you run faster and improve your running economy, but are they worth the investment? Research suggests carbon plated running shoes alter the way you run by influencing your running mechanics leading to the marketed claim of improving running economy by 4%.
The shoes do this in various ways, however, the most significant is through changing the dynamics of an athlete’s calf movements. By embedding the carbon plate into the sole of the shoe, the stiffness of the midsole is increased, in comparison to regular, non-carbon plated shoes. By increasing the stiffness of the midsole, less energy is lost during the ground contact phase of each run stride, and the stored energy is released back to the runner as they stride forwards, hence these shoes are associated with approximately a 1% saving in metabolic energy. The oxygen cost of running is therefore, lowered, leading to an improved running economy. So, while the shoes do lower the oxygen cost associated with running, this is as a result of alterations to running mechanics, as opposed to altered physiological or metabolic adaptations.
So, want to find out more about your Running Economy?
As we’ve mentioned already, every runner will exhibit unique energy and metabolic costs associated with different speeds, therefore emphasizing that the approach to 'improving running economy' is not one size fits all. If you're looking for an individualised feedback and insight into your running economy, then book your lab test with us today!
At Loughborough, we pride ourselves on providing bespoke feedback and training guidance to every athlete that is tested in our lab, so look no further if improving your running economy is one of your training targets!
Head here to see what our testing package includes.